Новини от индустрията

Базирани на циклодекстрин разтвори за подобряване на разтворимостта и стабилността

Базирани на циклодекстрин разтвори за подобряване на разтворимостта и стабилността

Технически преглед на хидроксипропил бетадекс и бетадекс сулфобутил етер натрий

Циклодекстрините са широко признати за способността си да подобряват разтворимостта и стабилността на слабо разтворими или химически чувствителни съединения. Благодарение на тяхната уникална циклична молекулярна структура, циклодекстрините и техните производни са се превърнали във важни функционални ексципиенти във фармацевтичните, химическите и свързаните с тях области на формулиране. В отговор на нарастващите технически и регулаторни изисквания, Xi’an Deli Biochemical допълнително усъвършенства техническата документация и продуктовата поддръжка за своите ключови производни на циклодекстрин:хидроксипропил бетадекс (HPBCD) и бетадекс сулфобутил етер натрий (SBECD).


Структурни характеристики и функционално представяне на циклодекстрини

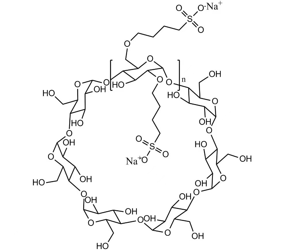
Циклодекстрините са циклични олигозахариди, съставени от глюкозни единици, свързани с α-1,4 гликозидни връзки. Тяхната молекулярна архитектура се отличава с хидрофилна външна повърхност и относително хидрофобна вътрешна кухина, което позволява образуването на включени комплекси с широк спектър от гостуващи молекули. Химическата модификация на структурата на циклодекстрин може значително да подобри разтворимостта във вода и да разшири гъвкавостта на приложението.


Хидроксипропил бетадекс (HPBCD)


Hydroxypropyl betadex е химически модифициран β-циклодекстрин, предназначен да преодолее ограничената разтворимост на естествените циклодекстрини. Неговата подобрена разтворимост във вода и благоприятна съвместимост правят HPBCD подходящ за приложения, изискващи ефективно разтваряне, стабилизиране и гъвкавост на формулировката в различни системи.


Бетадекс сулфобутил етер натрий (SBECD)


Betadex сулфобутилов етер натрий е анионно производно на циклодекстрин, характеризиращо се със сулфобутилов етер заместители. Тази структура подобрява електростатичните взаимодействия със специфични съединения, поддържайки подобрена разтворимост, комплексна стабилност и устойчивост на формулировката при по-взискателни приложения.

Стандартизирана продуктова информация и техническа поддръжка

За да подпомогне по-добре разработването на формули, оценката на качеството и процесите на доставка, Xi’an Deli Biochemical систематично актуализира продуктовата информация за HPBCD и SBECD, включително:


  • Ясно дефинирани и стандартизирани продуктови спецификации и аналитични параметри
  • Специфични за партидите сертификати за анализ (COA), за да се гарантира проследимост и проверка на качеството
  • Разширени технически често задавани въпроси относно обработката, съхранението и типичните съображения за приложение
  • Оптимизирани продуктови резюмета, предназначени да улеснят ефективния технически преглед и избор


Тези подобрения имат за цел да подобрят прозрачността, да намалят сроковете за оценка и да поддържат постоянна производителност на продукта през целия цикъл на доставка.


Опит в производството и гаранция за качество

Създадена през 1999 г., Xi’an Deli Biochemical носи 26 години опит в производството на производни на циклодекстрин. Компанията се фокусира върху контролираното производство на хидроксипропил бетадекс и бетадекс сулфобутил етер натрий, като набляга на последователността на процеса, надеждността от партида до партида и дългосрочната стабилност на доставките. Структурираните практики за управление на качеството поддържат техническите, регулаторни и снабдителни изисквания на клиентите.


Обхват на приложението и техническо сътрудничество

Въз основа на механизмите за включване и стабилизиране на циклодекстрин, HPBCD и SBECD са приложими в множество технически области, включително фармацевтични формулировки, специални химикали, ветеринарни продукти и други системи, изискващи повишена разтворимост и стабилност. Xi’an Deli Biochemical продължава да се ангажира с партньори чрез комуникация, фокусирана върху приложението, и техническо сътрудничество, за да подкрепи променящите се нужди от формули.


Относно Xi’an Deli Biochemical Industry Companies

Основана през 1999 г., Xi’an Deli Biochemical Industry Companies е специализиран производител на производни на циклодекстрин, доставящ хидроксипропил бетадекс (HPBCD) и бетадекс сулфобутил етер натрий (SBECD) на глобални клиенти. С дългогодишен фокус върху последователността на продукта, ясни спецификации и практическа техническа поддръжка, компанията остава ангажирана с предоставянето на надеждни решения, базирани на циклодекстрин.


Ако искате, мога също така:


  • Допълнително оптимизирайте това за Google SEO (без да намалявате техническия тон)
  • Кондензирайте го във версия „Техническа актуализация“ на страницата на продукта
  • Адаптирайте го за регулаторни / фокусирани върху качеството клиенти


Просто ми кажете къде смятате да го публикувате.


Изпратете запитване


icon
X
Ние използваме бисквитки, за да ви предложим по-добро сърфиране, да анализираме трафика на сайта и да персонализираме съдържанието. Използвайки този сайт, вие се съгласявате с използването на бисквитки от наша страна. Политика за поверителност
Отхвърляне Приеми